This series of Symons cone crusher are usually suitable for the medium of the broken, -second or third broken section, widely used in mining, smelting, building materials, roads, railways, water and chemical industries and other fields of various minerals and rocks. Iron ore, copper ore, gold ore, manganese ore, river stone, gravel, granite, basalt, mine ore, quartz,diabase,etc. (for hard stone).
Working principle
When the spring cone crusher is working, the motor drives the eccentric bearing bushing via spring coupling, transmission shaft and a couple of cone gear wheel. The crushing cone axis is forced to swing by the eccentric bearing bushing, which makes the mantle sometimes close to the bowl liner, and some times far away from the bowl liner. The raw materials are pressed, impacted and finally crushed in the crushing chamber.
Standard chemical plant, strictly control the production process, seriously treat every process, every detail
The introduction of scientific design concept, strict control of the production process, factory layers of quality assurance inspection.
Dust collector and box type low voltage electronic control facilities
It has the characteristics of high crushing efficiency, large processing capacity, low production cost, convenient adjustment and easy maintenance.
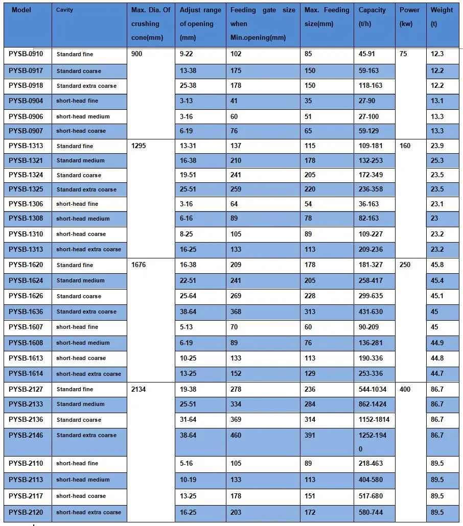
This cone crusher exceed other PYT cone crushers, with a better yield, better uniform size of particle, finer particle, longer service life, more efficient operating rate and a superior management production maintenance. PYS crushers can be widely applied in nonmetallic mine, cement plant, building,metallurgy, transportation, gravel aggregate, etc. and is well used in crushing iron ore, gold ore, nonferrous metals ore, granite, basalt, diabase, cobblestones, quartzite, sandstone, limestone, and firm,medium firm ore and rock.In order to meet different needs from different clients, our PYS cone crushers are divided into four sizes: 3 feet, 4 feet, 5 feet, 7 feet, in which there are classic, short crushing cavity separately, so, they are widely used in all parts of the world, with a high occupation of crusher market.
1.what is the raw material do you want to process? granite,limestone,pebble,etc.
2.what is the capacity per hour do you need? 100 t/h,etc.
3.what is the raw material input size? 400mm
4.what is the output size of your product? 0-5mm;5-10mm,10-20mm,etc.
sensorsCode End sensorsCode
Related Products
Sign Up For Our Newsletter
get ready for the future
sign up for our newsletter to get updates straight to your inbox